Updated on October 07, 2024
Contents |
Color key |
|
|
| Platform | TG | WT | Total |
|---|---|---|---|
| GeoMx | 4 | 3 | 7 |
| Xenium | 3 | 3 | 6 |
| Total | 7 | 6 | 13 |
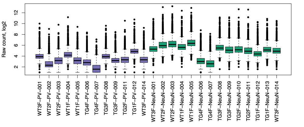
| Count | VST | |
|---|---|---|
![]() |
![]() |
|
| Distribution |
|---|
![]() |
![]() |
| Segment | Rank survey | Consensus matrix | Coefficient H matrix (Metagene X Sample) | Basis W matrix (Gene X Metagene) |
|---|---|---|---|---|
| PV | ||||
| NeuN | ||||

| PV | NeuN |
|---|---|
![]() |
![]() |
|
Metagene 1 (97) Metagene 2 (94) Metagene 3 (79) |
Metagene 1 (83) Metagene 2 (49) Metagene 3 (88) Metagene 4 (72) |
|
|
||||||||||||||||||||||||||||||||||||||||||||||||||||||||||||||||||||||||
| WT1F | WT2F | WT3F | Legend |
|---|---|---|---|
![]() |
![]() |
![]() |
![]() |
| TG2F | TG3F | TG4F | |
![]() |
![]() |
![]() |